Danh sách phạt nguội Hà Nội mới nhất
Từ ngày 01/10 đến 10/10/2025, thông qua hệ thống camera giám sát giao thông, Phòng Cảnh sát giao thông – Công an TP Hà Nội đã phát hiện, ghi hình 41 trường hợp phương tiện vi phạm, gồm cả ô tô và mô tô. Sau đây danh sách phạt nguội Hà Nội mới nhất.

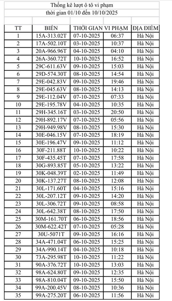
1. Danh sách phạt nguội ở Hà Nội T10/2025
Theo đó, chủ phương tiện, người điều khiển phương tiện có thể tra cứu thông tin “phạt nguội” trên trang thông tin điện tử của Cục Cảnh sát giao thông – Bộ Công an tại địa chỉ www.csgt.vn, hoặc liên hệ trực tiếp Đội Chỉ huy giao thông và điều khiển đèn tín hiệu giao thông (Phòng CSGT – CATP Hà Nội) tại số 54 Trần Hưng Đạo, phường Cửa Nam, TP Hà Nội, điện thoại: 0692.196.440 để được hướng dẫn, giải quyết.
Đối với người dân cư trú trên địa bàn Hà Nội có thể đến 14 địa điểm tiếp nhận, giải quyết kết quả thu thập được bằng phương tiện, thiết bị nghiệp vụ (phạt nguội) của Phòng Cảnh sát giao thông để giải quyết vụ việc vi phạm hành chính.
Xe ô tô vi phạm phạt nguội trong tháng T10/2025

Xe mô tô bị phạt nguội T8/2025

Nếu như quý độc giả thấy biển số xe của mình trong danh sách nhưng còn chưa chắc chắn hoặc không thấy biển số xe trong danh sách nhưng nghi ngờ xe của mình bị phạt nguội ở Hà Nội thì hãy tra cứu phạt nguội xe ô tô ngay để yên tâm nhé. Website loiphatnguoi.net kết nối trực tiếp với cổng thông tin điện tử của cục cảnh sát giao thông csgt.vn và việc tra cứu được thực hiện theo thời gian thực nên quý độc giả hoàn toàn yên tâm dữ liệu luôn là chính xác và mới nhất.
2. Hướng dẫn cách nộp phạt nguội ở Hà Nội
Sau khi kiểm tra phạt nguội qua loiphatnguoi.net, người vi phạm sẽ thấy các thông tin chi tiết về lỗi phạt nguội như: biển số xe vi phạm, thời gian vi phạm, địa điểm vi phạm, thông tin liên hệ của đơn vị chức năng giải quyết vi phạm.
Khi đã chắc chắn về lỗi phạt nguội vi phạm giao thông của mình. Bạn cần đến trụ sở xử lý vi phạm của các đơn vị thuộc Phòng CSGT nơi mình có hộ khẩu thường trú để xử lý. Bạn không nên đến nơi phát hiện vi phạm ở địa phương khác. Vì vừa quá tải cho lực lượng chức năng, vừa phải di chuyển xa. Độc giả có thể xem hướng dẫn cách nộp phạt nguội có hướng dẫn chi tiết từng bước để thực hiện việc nộp phạt nguội dễ dàng theo đúng quy trình.

Bạn bị lỗi phạt nguội ở địa bàn Hà Nội nhưng có địa chỉ thường trú không ở Hà Nội. Bạn cũng không cần phải quay lại Hà Nội để xử lý vi phạm. Trong trường hợp đó, người vi phạm chỉ cần đến cơ quan CSGT nơi mình thường trú để xử lý. Cơ quan CSGT nơi thường trú sẽ liên hệ với cơ quan CSGT nơi phạt hiện vi phạm ở Hà Nội để xác minh và giải quyết vi phạm phạt nguội. Lúc này, người vi phạm có thể sử dụng cách nộp phạt nguội online để nộp tiền phạt và hoàn thành việc xử lý lỗi phạt nguội ngay tại cơ quan CSGT nơi thường trú.
3. Các giấy tờ người vi phạm cần mang theo khi đi xử lý lỗi phạt nguội
Khi đi xử lý lỗi phạt nguội ở cơ quan CSGT, người vi phạm nhớ mang theo các giấy tờ sau đây để thuận lợi cho quá trình xử lý, tránh mất thời gian không cần thiết.
Giấy tờ cần thiết đối với xe ô tô:
Nếu là xe ô tô, người vi phạm cần mang theo các giấy tờ sau đây:
- Thông báo vi phạm của cơ quan Công an
- Đăng ký xe
- Giấy chứng nhận kiểm định an toàn kỹ thuật và bảo vệ môi trường
- Giấy phép lái xe của người vi phạm
- Căn cước công dân của người vi phạm
Lưu ý: với mỗi loại giấy tờ photo 01 bản
Giấy tờ cần thiết đối với xe mô tô:
Với xe mô tô thì người vi phạm sẽ cần mang theo những giấy tờ sau:
- Thông báo vi phạm của cơ quan Công an
- Đăng ký xe
- Giấy phép lái xe của người vi phạm
- Căn cước công dân của người vi phạm
Lưu ý: với mỗi loại giấy tờ photo 01 bản
4. Không nộp phạt nguội thì sao?
Hình thức phạt nguội giao thông đã được áp dụng rộng rãi trên cả nước. Tuy vậy, thắc mắc không nộp phạt nguội thì sao vẫn là điều chưa rõ ràng với nhiều người. Nhiều người vi phạm giao thông vẫn chủ quan khi cho rằng không bị phạt trực tiếp thì có thể né tránh phạt nguội hoặc chây ỳ kéo nhằm dài thời gian nộp phạt. Những suy nghĩ như vậy là sai lầm. Pháp luật có những chế tài áp dụng khi người vi phạm không nộp phạt nguội theo đúng quy định. Ví dụ như tính lãi suất nộp phạt chậm hoặc rắc rối hơn là từ chối đăng kiểm. Bạn đọc hãy truy cập loiphatnguoi.net để biết chi tiết những chế tài khi không nộp phạt nguội theo quy định của pháp luật.

